Beranda
/ Buatlah Flowchart Untuk Menghitung Luas Segitiga - Algoritma Flowchart Dan Contoh Pemrograman Untuk Menghitung Luas Lingkaran Dan Keliling Lingkaran Hari Aspriyono / Tugas algoritma dan pemrograman ii kelompok 2:
Buatlah Flowchart Untuk Menghitung Luas Segitiga - Algoritma Flowchart Dan Contoh Pemrograman Untuk Menghitung Luas Lingkaran Dan Keliling Lingkaran Hari Aspriyono / Tugas algoritma dan pemrograman ii kelompok 2:
Buatlah Flowchart Untuk Menghitung Luas Segitiga - Algoritma Flowchart Dan Contoh Pemrograman Untuk Menghitung Luas Lingkaran Dan Keliling Lingkaran Hari Aspriyono / Tugas algoritma dan pemrograman ii kelompok 2:. Setelah itu masukan tinggi segitiga 4. Jawaban mencari luas lingkaran luas π r r luas 3 14 x 15 x 15 jari jari 15 diperoleh dari d 30 2 15 luas 3 14 x 225 707 cm. Algoritma menghitung luas segi tiga 1. Nilai l (luas) akan dicetak sebagai output ke perangkat output (keluaran) flowchart menghitung luas segitiga. Dapat dilihat dari flowchart diatas kita menggunakan simbol terminal untuk mulai dan akhir.nilai alas dan tinggi segitiga akan dimasukan dari user sehingga kita menggunakan simbol input.kemudian selanjutnya komputer akan menghitung luas segitiga berdasarkan rumus yang kita definisikan.
Hitung luas dengan cara kalikan alas dengan tinggi lalu kalikan dengan 0.5 (0.5*alas*tinggi) 4. Star merupakan tanda mulai 2. Diagramme schnell und einfach erstellen. Rumus luas lingkaran adalah phi x r x r atau 1 4 x phi x d x d. Buatlah algoritma dalam bentuk flowchart untuk menghitung dan menampilkan isi (volume) dari.
Contoh Flowchart Menghitung Bilangan Siswapelajar Com from i0.wp.com Namun untuk dapat membuat sebuah algoritma flowchart kamu diharuskan telah memahami bentuk simbol dan fungsi dari flowchart untuk membuat suatu proses penyelesaian masalah. Luas persegi panjang adalah panjang dikalikan lebar. Algoritma luas segitiga ( uraian dalam kalimat deskriptif / narasi )analisis:input : A.buatlah algoritma menggunakan flowchart dan pseudocode untuk menghitung luas persegi panjang. Pseudo code,dan flowchart menghitung luas segitiga. * buatlah pseudocode, flowchart dan program untuk menampilkan menu untuk menghitung luas bangun ruang seperti : A (alas) dan t (tinggi)luas = a*t/2algoritma :masukan nilai alas segitiga (a) dan nilai tinggi segitiga (t),menghitung luasnya dengan alas dan tinggi tertentu.luas segitiga dihitung dengan rumus l= 1/2*a*t,nilai luas (l) di cetak sebagai output ke piranti keluaranalgoritma luas segitiga ( flowchart manual. Menghitung luas segitiga deskripsi :
Diketahui sebuah segitiga memiliki panjang alas = 8 cm dan tinggi = 5 cm.
Buatlah flowchart untuk menghitung luas segitiga.buatlah flowchart untuk menentukan nilai yang paling besar diantara dua bilangan. A.buatlah algoritma menggunakan flowchart dan pseudocode untuk menghitung luas persegi panjang. Setelah itu masukan tinggi segitiga 4. Di artikel sebelumnya saya sudah menyajikan algoritma pseudocode untuk menghitung luas lingkaran, segitiga dan juga persegi panjang, masih mengenai algoritma, di artikel kali ini saya akan menyajikan algoritma flowchart untuk perhitungan yaitu menghitung luas lingkaram, luas segitiga dan luas persegi panjang beserta menampilkan hasilnya. Rumus untuk menghitung luas segitiga yaitu l = 1/2*a*t; A buatlah algoritma menggunakan flowchart dan pseudocode untuk menghitung luas persegi panjang. 01022020 kemudian selanjutnya komputer akan menghitung luas segitiga berdasarkan rumus yang kita definisikan. Tugas algoritma dan pemrograman ii kelompok 2: Luas segitiga = 1 2 alas * tinggi; Pseudo code,dan flowchart menghitung luas segitiga. Diketahui sebuah segitiga memiliki panjang alas = 8 cm dan tinggi = 5 cm. Setelah membahas tentang algoritma dan flowchart untuk menghitung menghitung luas segitiga, selanjutnya kita akan terapkan dalam sebuah program dan akan dibahas dalam beberapa bahasa pemrograman yaitu java, c++, python dan php. Algoritma menghitung luas segi tiga 1.
Diketahui sebuah bangun ruang berbentuk bola dan memiliki diameter 15 cm. Algoritma flowchart untuk menghitung luas segitiga, dimana alas dan tingginya diinput oleh pengguna dan ditampilkan hasilnya. Kemudian masukan alas segitiga 3. * buatlah pseudocode, flowchart dan program untuk menampilkan menu untuk menghitung luas bangun ruang seperti : Namun untuk dapat membuat sebuah algoritma flowchart kamu diharuskan telah memahami bentuk simbol dan fungsi dari flowchart untuk membuat suatu proses penyelesaian masalah.
6 Contoh Flowchart Program Untuk Latihan Dosenit Com from 3.bp.blogspot.com Dalam menghitung luas segitiga menggunakan algoritma flowchart, dimana terdapat nilai dari alas segitiga dan nilai tingginya diinput oleh pengguna, serta akan menampilkan hasil nilai dari luas segitiga. Pseudo code,dan flowchart menghitung luas segitiga. Buatlah algoritma dari hasil soal no 1. A (alas) dan t (tinggi)luas = a*t/2algoritma :masukan nilai alas segitiga (a) dan nilai tinggi segitiga (t),menghitung luasnya dengan alas dan tinggi tertentu.luas segitiga dihitung dengan rumus l= 1/2*a*t,nilai luas (l) di cetak sebagai output ke piranti keluaranalgoritma luas segitiga ( flowchart manual. Buatlah flowchart untuk menghitung luas bangun segitiga ! Untuk menghitung luas segitiga digunakan rumus alas dengan tinggi yang sudah ditentukan. Rumus untuk menghitung luas segitiga yaitu l = 1/2*a*t; Pada langkah kelima ini merupakan output dari urutan langkah langkah diatas.
Konversikan algoritma di soal no 2 ke dalam bahasa c 1 lihat jawaban iklan
Setelah sebelumnya kita sudah membuat contoh flowchart untuk menghitung luas segitiga, kali ini akan saya bagikan flowchart untuk menghitung luas lingkaran.jika kita ingin membuat program menghitung luas lingkaran maka termasuk dalam algoritma sekuensial dimana instruksi dijalankan secara berurutan dari atas kebawah. Luas segitiga = 1 2 alas * tinggi; Dapat dilihat dari flowchart diatas kita menggunakan simbol terminal untuk mulai dan akhir.nilai alas dan tinggi segitiga akan dimasukan dari user sehingga kita menggunakan simbol input.kemudian selanjutnya komputer akan menghitung luas segitiga berdasarkan rumus yang kita definisikan. Buatlah algoritma dalam bentuk flowchart untuk menghitung dan menampilkan luas dari segitiga tersebut! Buatlah algoritma dan flowchart untuk menghitung berat barang tersebut dalam satuan kg. Masukan nilai alas (a) dan nilai tinggi segitiga (t) maka untuk menghitung luas digunakan rumus alas dengan tinggi yang sudah ditentukan; Sedangkan untuk cara menghitung rumus luas segitiga dan cara menghitung rumus keliling segitiga biasanya digunakan untuk. Rumus untuk menghitung luas segitiga yaitu l = 1/2*a*t; Pada langkah kelima ini merupakan output dari urutan langkah langkah diatas. Namun untuk dapat membuat sebuah algoritma flowchart kamu diharuskan telah memahami bentuk simbol dan fungsi dari flowchart untuk membuat suatu proses penyelesaian masalah. Konversikan algoritma di soal no 2 ke dalam bahasa c 1 lihat jawaban iklan Pseudo code,dan flowchart menghitung luas segitiga. Mit diesem programm ist es leicht, ein flussdiagramm zu erstellen.
Algoritma flowchart untuk menghitung luas segitiga, dimana alas dan tingginya diinput oleh pengguna dan ditampilkan hasilnya. Untuk menghitung luas segitiga digunakan rumus alas dengan tinggi yang sudah ditentukan. Setelah itu masukan tinggi segitiga 4. Buatlah algoritma dan flowchart untuk menghitung berat barang tersebut dalam satuan kg. Pada langkah kelima ini merupakan output dari urutan langkah langkah diatas.
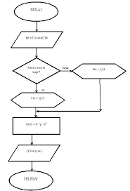
Program Menghitung Luas Persegi Di C Kopi Coding from www.kopicoding.com Buatlah algoritma dan flowchart untuk menghitung berat barang tersebut dalam satuan kg. Mit diesem programm ist es leicht, ein flussdiagramm zu erstellen. Tugas algoritma dan pemrograman ii kelompok 2: Untuk menghitung luas segitiga digunakan rumus alas dengan tinggi yang sudah ditentukan. Persegi panjang, segitiga dan bujur sangkar tugas 5 buatlah program lengkap dengan pseudocode dan flowchart untuk menampilkan * bilangan fibonancii * bilangan faktorial A.buatlah algoritma menggunakan flowchart dan pseudocode untuk menghitung luas persegi panjang. Luas segitiga = 1 2 alas * tinggi; Flowchart untuk menghitung luas segitiga dapat digambarkan sebagai berikut:
Flowchart untuk menghitung luas segitiga dapat digambarkan sebagai berikut:
A.buatlah algoritma menggunakan flowchart dan pseudocode untuk menghitung luas persegi panjang. * buatlah pseudocode, flowchart dan program untuk menampilkan menu untuk menghitung luas bangun ruang seperti : Contoh program menghitung luas segitiga. Jawaban mencari luas lingkaran luas π r r luas 3 14 x 15 x 15 jari jari 15 diperoleh dari d 30 2 15 luas 3 14 x 225 707 cm. Algoritma menghitung luas segi tiga 1. A (alas) dan t (tinggi)luas = a*t/2algoritma :masukan nilai alas segitiga (a) dan nilai tinggi segitiga (t),menghitung luasnya dengan alas dan tinggi tertentu.luas segitiga dihitung dengan rumus l= 1/2*a*t,nilai luas (l) di cetak sebagai output ke piranti keluaranalgoritma luas segitiga ( flowchart manual. Pseudo code,dan flowchart menghitung luas segitiga. Setelah sebelumnya kita sudah membuat contoh flowchart untuk menghitung luas segitiga, kali ini akan saya bagikan flowchart untuk menghitung luas lingkaran.jika kita ingin membuat program menghitung luas lingkaran maka termasuk dalam algoritma sekuensial dimana instruksi dijalankan secara berurutan dari atas kebawah. Untuk menghitung luas segitiga digunakan rumus alas dengan tinggi yang sudah ditentukan. Dalam menghitung luas segitiga menggunakan algoritma flowchart, dimana terdapat nilai dari alas segitiga dan nilai tingginya diinput oleh pengguna, serta akan menampilkan hasil nilai dari luas segitiga. Halo sahabat programmer kali ini kembali lagi saya menulis artikel untuk contoh flowchart menghitung luas segitiga. Luas segitiga = 1 2 alas * tinggi; Menghitung luas segitiga deskripsi :
Berbagi
Posting Komentar
untuk "Buatlah Flowchart Untuk Menghitung Luas Segitiga - Algoritma Flowchart Dan Contoh Pemrograman Untuk Menghitung Luas Lingkaran Dan Keliling Lingkaran Hari Aspriyono / Tugas algoritma dan pemrograman ii kelompok 2:"
Posting Komentar untuk "Buatlah Flowchart Untuk Menghitung Luas Segitiga - Algoritma Flowchart Dan Contoh Pemrograman Untuk Menghitung Luas Lingkaran Dan Keliling Lingkaran Hari Aspriyono / Tugas algoritma dan pemrograman ii kelompok 2:"